使制品通過拉拔模的應力稱為拉拔力P,作用在拉拔出口制品上的單位拉拔力稱為拉拔應力σ.
1 影響拉拔力的各種因素
影響拉拔力的主要因素有:
(1)被拉拔金屬的力學性能。被拉拔金屬的屈服強度與拉拔力之間成直線關系,即隨著被拉拔金屬的強度增加,拉拔力增大。
(2)變形程度。變形量增加,不但使變形能增加,而且摩擦力也增加,因此拉拔力隨變形程度的增加而增加。
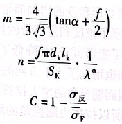
(3)模子形狀。模子錐度和定徑帶的長度與拉拔力有直接關系。模角的增加減少了變形區長度,降低了垂直壓力和所引起的摩擦力,但模角的增加也增加了水平方向的拉力。當模角較小時,前一種因素占優勢,因而隨模角的增大拉拔力下降;而當模角很大時,后一因素占優勢,所以拉拔力隨模角的增大而增大。因此,存在一個最佳模角,最佳模角拉伸時拉拔力最小。定徑帶長度也影響金屬通過時的摩擦力,定徑帶增大,拉拔力也隨之增大。實驗表明,拉拔力的大小與模具的弧線有一定的關系,但影響不大。由于錐形模孔形狀的制造和檢查都比較容易,在生產中常用錐形模。
(4)潤滑與摩擦。潤滑條件與潤滑劑的優劣直接影響拉拔力的大小。工具材質及表面粗糙度不同也會造成摩擦系數的變化,從而引起拉拔力的變化。
(5)拉拔速度。實際上拉拔速度對拉拔力沒有很大影響。只是在開動設備的瞬間,由于加速度較大從而使拉拔力增大。當速度平穩后,拉拔力不隨速度的變化而變化。
2 線材拉拔力的計算
拉拔力的計算為線材生產中合理工藝配模的制定、拉拔設備和電機的正確選擇提供可靠的依據。常用的拉拔力P,計算公式如下。
(1)洛夫公式:![]()
本公式比較簡單,適用于單次拉拔計算。
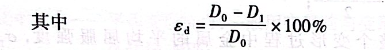
(2)古布金公式:![]()
塔爾那夫斯基公式:
式中
σf平均變形抗力,一般用變形前與變形后平均抗拉強度代替,MPa;
SK-線材出口斷面積,m㎡;
入-延伸系數;
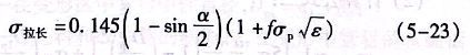
Pz拉拔力,kN;
f-摩擦系數;
α-拉拔模錐半角;
dk一定徑帶直徑,mm;
lk一定徑帶長度,mm;
σ反-反拉拔應力。
3 管材拉拔力計算
拉拔力的計算就是計算拉拔應力,以下介紹各種拉拔應力的計算公式,其中各公式通用符號為:
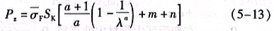
Do,do--變形前管材的外徑、內徑;
D1,d1-拉拔后管材的外徑、內徑;
δ0,δ1-管毛料和成品管的壁厚;
Dop,D1p-管毛料和成品管的中性直徑,Dop=do+80,D1p=d1+δ1;
Dp1-在變形區中管材中性直徑,Dp1=d1+δ0;
Fo,F1-一管毛料和成品管的斷面積,在變形中管材的橫斷面積F1=(d1+δ0)δ0π;
δ彈-作用在彈性和塑性變形區邊界上的應力(如有反拉力就等于反拉力),等于管毛料的彈性極限;
σso-管毛料屈服強度;
σ空拉一空拉段結束后金屬的屈服強度;
σ成一變形完了時金屬的屈服強度;
σ’-在空拉段金屬的平均屈服強度,σ’拉=(σo+σ空)/2;
σ”一從空拉段到成品的變形金屬的平均屈服強度,σ”拉=(σ空+σ成)/2;
σp-整個變形過程中金屬的平均屈服強度,σp=(σso+σ成)/2;
l1拉拔模工作帶寬,一般取l1≈1.5δ1
α-拉拔模半錐角;
σb-拉拔前后金屬的抗拉強度平均值,
f-摩擦系數;![]()
A 無芯頭拉拔時的應力計算
這里推薦三個公式,第一個公式為常用的理論計算式;第二個公式考慮的因素比較全面,計算結果也比較準確,但計算繁雜,可用于新設計時;第三個公式是經驗公式,計算簡單,它沒有考慮模工作帶的影響,但對于工具形狀已定形的正常生產也是適用的。
(1)計算公式一:
(2)計算公式二:
式中
α’一換算角:
計算公式三:
B 短芯頭拉拔時的應力計算
計算短芯頭拉拔應力的公式很多,這里推薦兩個公式。
(1)計算公式一:
(5-20)
式中
α’-換算角,由式5-18確定;
α空拉-用式5-19計算出在空拉段末橫斷面上的軸向拉應力。
(2)計算公式二:
C 長芯頭拉拔時的應力計算
這里僅推薦一種長芯頭拉拔應力計算公式:
4 拉拔力的測定
在制定新的拉拔工藝時,除了進行拉拔力的理論計算之外,還可實測拉拔力。
拉拔力實測可直接進行,也可以通過能耗或傳動功率來求得。前者為直接測定法,后者為間接測定法。
(1)直接測定法是在拉力實驗機上裝有專用測力機構進行測定,或用彈簧測力計測量,也有用液壓計進行測量的。雖然這些方法測量準確、簡便,但在工作現場的設備上卻不便于測量,因此很少應用。
(2)間接測量法也稱電測法。就是在現有設備上,通過電氣參數的測量再進行計算。其原理是測量設備拉拔時的功率與空轉時的功率的變化,按下式求出拉拔力:
P=1000(W負-W空)?/v (5-24)
式中
Pz-拉拔力,N;
W負-拉拔機負載時的功率,kW;
W空-拉拔機空載時的功率,kW;
v-拉拔機線速度,m/s;
?一設備有效系數,取0.9.
利用現場的三相功率表可直接測量出拉拔時的功率和空運轉時的功率,按照式5-24求出拉伸力。這種方法簡便、準確,因此常用此法測量。
在3t拉拔機上,空拉純鈦管時,采用α=10°的硬質合金模拉拔實測拉伸力,并按式5-15計算出理論值,計算值和實測值結果見表5-2.從表5-2中可見,當加工率ε>15%時,兩值很接近,這說明計算式和實際相符,使用時出入很小。所以在實踐中,可以用理論式來校驗拉伸力,也可以用實測法來實測。
億沐鑫新材料有限公司產品分類:鈦棒、鈦管、鈦板、鈦陽極、鈦箔鈦帶、鈦法蘭、鈦絲、鈦靶材、鈦設備、鈦餅鈦環、鈦標準件、鈦加工件