技術支持

當前位置:首頁>技術支持

二輥式冷軋管軋制力的計算

時間:2022-07-06   訪問量:1369

A 影響軋制力的主要因素
a
送料量
軋制力與送料量成正比。送料量愈大,軋制過程的壓下角愈大,壓下區水平投影也愈大,軋制力也就愈大。一般情況下,送料量增加1倍,軋制力增加0.3~0.5倍。
送料量在2~10mm范圍內時,軋制力與送料量的關系可用式3-18近似表示:

軋制力與送料量的關系 

式中 P1,P2-分別為送料量為m1和m2時的軋制力。
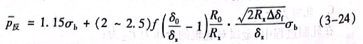
b 總延伸系數
軋制力與總延伸系數成正比;在管坯尺寸相同的條件下,軋制力與成品管材的壁厚成反比,如圖3-23和圖3-24所示。一般情況下,管坯壁厚增加1倍,軋制過程在正行程時軋制力增加0.2倍,反行程時軋制力增加0.3倍。反行程時軋制力增加多的原因主要是材料在正行程時經過了一次軋制,由于加工硬化,材料的變形抗力有所提高。
當延伸系數在2~8范圍內時,延伸系數與軋制力的關系可近似地用式3-19表示:

延伸系數與軋制力的關系 

式中 P1,P2-分別為延伸系數為入1、入2時的軋制力;C-系數。

軋制力P與成品管材壁厚δ 的關系 

c材料強度
軋制力與金屬材料的強度σ,成正比。在同一工藝條件下,軋制力與材料強度的關系可以用式3-20表示:

軋制力與材料強度的關系 

式中 P1,P2-分別為材料強度為σ和σ,時相對應的軋制力。
d 被軋管材直徑
軋制不同規格的管材要選用相應的孔型規格。孔型規格不同,軋制過程壓下角的水平投影面積也就不同。在相同工藝條件下,軋制力與軋制管材的直徑成正比,即軋制力隨軋制管材的直徑的增加而增大。軋制力與管材直徑的關系可用式3-21表示:

軋制力與管材直徑的關系 

式中 P1,P2分別為軋制管材直徑為d1和d2時的相應軋制力。
e 潤滑條件
采用不同的潤滑劑和潤滑條件具有不同的潤滑效果。如果潤滑效果好,軋制過程的壓力就小,軋制力也小。
f 工具和設備的技術參數
設備的技術參數、軋輥直徑、變形區長度等技術參數的不同決定了工具設計的技術參數。在工具與孔型設計中,芯頭錐度、孔型孔槽的平均錐度、孔型開口度等都影響到管材軋制時變形程度和不均勻變形量,其結果必然影響到軋制力的大小。
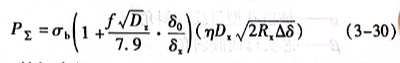
B 管材冷軋過程中軋制力的分布
在管材冷軋過程中,機架行程的不同位置上軋制力的大小是不同的。在一個軋制行程上,軋制力在孔型長度方向上的分布變化如圖3-25所示。
由圖3-25可見,管材軋制過程中軋制力最大發生在壓縮段,在這一階段,材料的瞬時加工率最大,金屬的變形程度最大,使得壓下區水平投影面積最大。在減徑段和精整段的軋制力較小。
C 軋制力計算
在軋制過程中,金屬對軋輥的全壓力P2為:
Py=pF2(3-22)
式中 p-金屬對軋輥的平均單位壓力;
F2-金屬與軋輥接觸面的水平投影面積。

軋制力在孔型長度方向上的分布變化 

由式3-22可知,只要計算出管材軋制時金屬對軋輥的平均單位壓力和金屬與孔型接觸面積,就可以計算出軋制過程的全壓力。
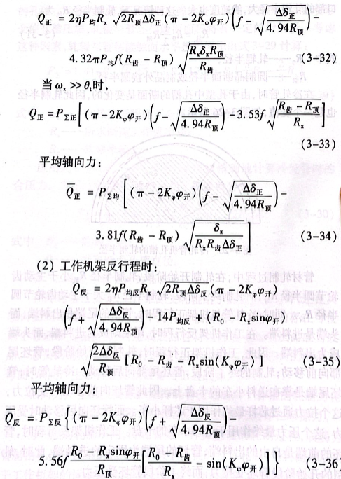
a 平均單位壓力的計算
平均單位壓力可采用IO.Φ.謝瓦金公式和Д.И.比遼捷夫公式進行計算。
按IO.Φ.謝瓦金公式計算時,工作機架正行程時的平均單位壓力P正為:

平均單位壓力 

工作機架反行程時的平均單位壓力P反為:

平均單位壓力 

式中 σ-在該變形程度下被軋金屬的變形強度;
n-考慮平均主應力時的影響系數,一般取1.02~1.08;
f-摩擦系數,對鈦合金取0.095~0.10;

δ0-管坯壁厚;
δx一計算斷面的管材壁厚;
R0一軋輥主動齒輪半徑;
Rx-計算斷面孔槽頂部的軋輥半徑;
Δδz-計算斷面正行程時的壁厚壓下量;
Δδf-計算斷面反行程時的壁厚壓下量。
Δδz和Δδf,可分別由式3-25和式3-26確定:
Δδz=0.7λzm(tanα-tanβ)(3-25)
Δδ;=0.3λzm(tanα-tanβ)(3-26)
式中 入計算斷面的壓延系數;
m-送料量;
α-該段孔型母線傾斜角;
β-芯頭母線傾斜角。
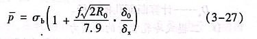
按Д.И.比遼捷夫公式計算:

比遼捷夫公式 

式中 σ在某種硬化程度下金屬的極限強度;
f一摩擦系數。
利用O.Φ.謝瓦金公式計算可以精確地計算出平均單位壓力,但計算過程復雜。而利用Д.И.比遼捷夫公式計算相對比較簡單。
b 金屬與軋輥接觸面水平投影面積的計算
軋制過程軋輥與管坯接觸面水平投影面積F2可由式3-28計算:

水平投影面積 

式中
η系數,一般取1.26~1.30;
Bx計算斷面的軋槽寬度;
Δδ計算斷面的壁厚壓下量,工作機架正行程時取Δδz,反行程時取Δδ1.
在軋制鈦合金時,由于鈦合金的強度較高,軋制力較大,孔型的孔槽在軋制力的作用下將發生彈性變形。由于孔槽的彈性變形會使孔槽壓扁,軋輥與管坯接觸面面積將有一定的增加量。考慮這種因素,軋輥與管坯接觸面水平投影面積由式3-29計算:

水平投影面積(3-29)

式中 σb-在該變形程度下金屬的極限強度;
Rx-所求斷面工作錐半徑;
R0-軋輥半徑。
應用式3-20、式3-24、式3-29可以精確地計算冷軋管時的合壓力。為了計算簡便,也可采用下列經驗公式:

冷軋管時的合壓力 

式中 Dz-軋輥直徑;
Dx-計算斷面孔槽直徑。
D 二輥式冷軋管時的軸向力
在冷軋管過程中,工作錐除受軋輥給予的軋制壓力外,還在其軸向受到軋輥的作用力,這個力稱為軸向力。軸向力的存在可使兩個管坯端頭相互切入,造成成品管材內外表面壓坑從而成為廢品。芯頭的前后竄動和芯桿的跳動還會造成芯桿、芯頭的斷裂和彎曲,從而產生管材廢品及設備與工具故障。軸向力產生的主要原因是冷軋管時軸輥對工作錐的軋制力在水平方向上的投影不為零,同時軋輥與工作錐之間存在摩擦力。與一般的軋制不同,冷軋管是一種強制性的軋制過程,表現為管材由孔型中出來的速度不取決于軋輥的自然軋制半徑,而是取決于工作機架的運動速度,也就是軋輥主動齒輪的節圓圓周線速度。軋制半徑就是圓周速度與金屬由軋輥中出來的速度相等的軋輥半徑。在平輥軋制時,如果不考慮前滑,軋制半徑等于軋輥半徑。而在帶有孔槽的軋輥上軋制時,孔槽上各點與軋件接觸處的半徑不相同,靠近孔槽頂部的軋輥半徑小,線速度也小,而靠近孔槽開口部的軋輥半徑大,線速度也大。這種情況下,軋制半徑R為:
RL=R01/2R制(3-31)
式中 R.-軋輥半徑;
R制-圓制品斷面半徑或制品外接圓半徑。
在冷軋管時,由于孔型中孔槽的斷面是變化的,因此軋制半徑也是一個變值,如圖3-26所示。

冷軋管機孔槽的軋制半徑 

管材軋制過程中,在軋制開始階段,軋制半徑R小于主動齒輪節圓半徑R齒,而軋制終了階段,軋制半徑R大于主動齒輪節圓半徑R.同時,冷軋管機機架正行程時,管子的尾端是出料端,而頭端是進料端。在工作機架反行程時,尾端則成為進料端,而頭端成為出料端。因此,工作機架正行程時,軋制的開始階段,管坯尾部向前移動;軋制的終了階段,管坯尾部向后移動。冷軋管時,管坯尾端是靠在送料小車的卡盤上。因此管坯向前移動時受拉力,
這個拉力通過芯桿最終作用于芯桿小車。而管坯向后移動時受壓力,這個壓力最終作用于送料小車的卡盤。工作機架反行程時,管坯的前端是自由的出料端,管坯的尾端為固定的進料端,此時,軋制的開始階段管坯受拉力,而終了階段管坯受壓力。
E 軸向力的計算
二輥式冷軋管機軋輥對管坯的軸向力的計算方法如下。
(1)工作機架正行程時:
當ω,<0,時,

二輥式冷軋管機軋輥對管坯的軸向力 

式中
φ開一孔槽開口角度;
f-摩擦系數;
K.孔槽開口處的金屬參與變形的程度,具體數值見表3-3;

Θt壓下角;
ωx-中性角;
P∑正,PΣ反一分別為工作機架正、反行程的平均全壓力;
P均-平均單位壓力。
 

表3-3 系數Kφ值
送進、回轉制度
工作機架正行程
工作機架反行程
軋槽始端軋槽中部軋槽末端軋槽始端軋槽中部軋槽末端
送進、回轉分別完成0.50.2501.00.850.75
一軋制周期二次回傳0.750.500.750.750.600.50


壓下角 

式中 Θt-壓下角;
Δδ-軋制時的瞬時壁厚壓下量;
R頂-孔槽頂部軋輥半徑。
ωx可由式3-38計算:

壓下角 

式中
R齒-主動齒輪節圓半徑;
Rx-計算斷面的孔槽半徑;
δx-計算斷面處工作錐壁厚。



本公司主要經營鈦棒鈦管鈦板鈦陽極鈦箔鈦帶鈦法蘭鈦絲鈦靶材鈦設備鈦餅鈦環鈦標準件鈦加工件

上一篇:多輥式冷軋管法軋制成品鈦管

下一篇:多輥式冷軋管軋制力的計算

發表評論:

評論記錄:

未查詢到任何數據!

在線咨詢

點擊這里給我發消息 售前咨詢專員

點擊這里給我發消息 售后服務專員

在線咨詢

免費通話

24小時免費咨詢

請輸入您的聯系電話,座機請加區號

免費通話

微信掃一掃

微信聯系
返回頂部