技術支持

當前位置:首頁>技術支持

多輥式冷軋管軋制力的計算

時間:2022-07-06   訪問量:1356

多輥式冷軋管機的特點是芯頭為沒有錐度的圓柱形,孔型孔槽的半徑不變。在軋制過程的開始階段,孔型間隙較大,孔槽表面不接觸管坯表面。隨著工作機架的向前移動,孔型在滑塊曲線上運動,孔型間隙逐漸變小,孔型孔槽組成的直徑逐漸變小,孔槽表面接觸管坯并對管坯進行碾軋。多輥軋機的孔型上沒有動力轉動,靠工作機架帶動并通過孔型孔槽與管坯的摩擦力實現轉動。因此,孔槽與管坯的單位壓力升高將對管坯形成較大的拉應力,其結果是金屬的塑性相應降低。這是多輥式冷軋管機的不利因素之一。
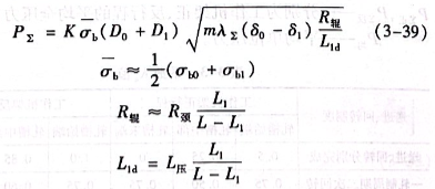
多輥式冷軋管機的全壓力計算公式為:

多輥式冷軋管機的全壓力計算公式 

式中 σb-被軋金屬的平均抗張強度,;
σboσ,ы-分別為管坯和軋制后的變形強度;
Do-管坯外徑;
D1-軋制管材外徑;
R輥-軋輥軋制半徑;
R頸-軋輥外徑;
L-搖桿長度;
L1-搖桿與輥架連桿連接點到搖桿軸的距離;
L1d-壓縮段長度;
L壓-滑道壓縮段長度;
K-系數,取1.6~2.2;
m-送料量;
∑-總壓延系數。



本公司主要經營:鈦棒鈦管鈦板鈦陽極鈦箔鈦帶鈦法蘭鈦絲鈦靶材鈦設備鈦餅鈦環鈦標準件鈦加工件

上一篇:二輥式冷軋管軋制力的計算

下一篇:擠壓鈦管棒型材的原理

發表評論:

評論記錄:

未查詢到任何數據!

在線咨詢

點擊這里給我發消息 售前咨詢專員

點擊這里給我發消息 售后服務專員

在線咨詢

免費通話

24小時免費咨詢

請輸入您的聯系電話,座機請加區號

免費通話

微信掃一掃

微信聯系
返回頂部